मुक्त इलेक्ट्रॉन लेज़र एवं उपयोगिता अनुभाग

आईआर-एफईएल और प्रयोगशाला स्रोतों से इन्फ्रारेड/टेराहर्ट्ज़ विकिरण के उपयोग के लिए सुविधाओं का विकास एवं उपयोग।

चित्र 7 में आईआर-एफईएल टनेल से सटे भवन में स्थित उपयोगकर्ता प्रयोगशालाओं में निकट भविष्य में विकसित की जाने वाली संपूर्ण प्रायोगिक सुविधा का लेआउट दिखाया गया है। यहाँ पर आईआर-एफईएल विकिरण का उपयोग करके प्रयोग शुरू किए गए हैं।

Figure 7: Layout of the IR-FEL user facility. The blue colour indicates the facilities already established.
चित्र 7: आईआर-एफईएल उपयोगकर्ता सुविधा का लेआउट। नीला रंग पहले से स्थापित सुविधाओं को दर्शाता है।

वर्तमान में आईआर-एफईएल प्रकाश आधारित उपयोगकर्ता प्रयोगों के लिए उपलब्ध प्रायोगिक पोर् और सुविधाएं:
  • पोर्ट P-1: पोर्ट तैयार है और इसमें स्थापित लेजर टेबल तक एफईएल प्रकाश पहुंचाने की व्यवस्था है। संभावित उपयोगकर्ता अपनी आवश्यकतानुसार नियोजित प्रयोगों के लिए वास्तविक सेटअप स्थापित करेंगे।
  • पोर्ट P-3: कम तापमान (5 K तक) और उच्च चुंबकीय क्षेत्र (7 T तक) वाले सैंपल वातावरण में आवृत्ति डोमेन में आईआर-एफईएल प्रकाश संचरण अध्ययन।
  • पोर्ट P-4: आईआर-एफईएल प्रकाश का उपयोग करके सैंपल की स्कैनिंग और इमेजिंग तथा अवशोषण अध्ययन (कमरे के तापमान पर)।
आईआर-एफईएल विकिरण का उपयोग करके अध्ययन के लिए संभावित सैम्पल्स के प्रारंभिक अध्ययन के लिए पूरक सुविधाएं।
  • कम तापमान (5-300 K) और उच्च चुंबकीय क्षेत्र (7 टेस्ला तक) सैंपल वातावरण में आवृत्ति डोमेन स्पेक्ट्रोस्कोपी; आवृति सीमा (2 - 2000 cm-1 / 0.1- 50 THz / 3 mm- 5 microns)
  • कम तापमान (2-300 K) और उच्च चुंबकीय क्षेत्र (2 टेस्ला तक) सैंपल वातावरण में टेराहर्ट्ज़ टाइम डोमेन स्पेक्ट्रोस्कोपी (THz-TDS); आवृति सीमा (0.3– 3 THz or 10- 100 cm-1)
  • विद्युत प्रतिरोधकता, ऊष्मा क्षमता, तापीय चालकता, ऊष्माविद्युत शक्ति और हॉल प्रभाव का तापमान (2 - 400 K) और चुंबकीय क्षेत्र (8 T तक) के फलन के रूप में मापन।
  • तापमान (2 - 400 K) और चुंबकीय क्षेत्र (7 T तक) के फलन के रूप में चुंबकत्व का मापन।
मौजूदा और नियोजित आईआर-एफईएल उपयोगकर्ता सुविधाओं का विवरण:

आईआर-एफईएल प्रकाश का उपयोग करके प्रयोगों के लिए छह उपयोगकर्ता पोर्ट की योजना बनाई गई है।

पोर्ट P-1 को IR विकिरण अध्ययनों के लिए चिन्हित किया गया है। यह उपयोगकर्ताओं के लिए अपने प्रयोगों की योजना बनाने और एक उपयुक्त उपयोगकर्ता स्टेशन स्थापित करने के लिए तैयार है।
चित्र 8: एफईएल भौतिकी अध्ययन के लिए और रसायन विज्ञान, जीव विज्ञान और अन्य क्षेत्रों में अध्ययन के लिए एक सुविधा स्थापित करने के लिए पोर्ट <strong>P-1</strong>।
चित्र 8: एफईएल भौतिकी अध्ययन के लिए और रसायन विज्ञान, जीव विज्ञान और अन्य क्षेत्रों में अध्ययन के लिए एक सुविधा स्थापित करने के लिए पोर्ट P-1

पोर्ट P-2 को भविष्य के विकास के लिए आरक्षित रखा गया है।

पोर्ट P-3 में कम तापमान और उच्च चुंबकीय क्षेत्र वाले सैंपल वातावरण में आवृत्ति डोमेन में आईआर-एफईएल और प्रयोगशाला स्रोत आधारित अध्ययनों की सुविधा है, और यह नियमित रूप से उपयोग में है।

चित्र 9: आवृत्ति डोमेन स्पेक्ट्रोस्कोपी के लिए उपयोगकर्ता स्टेशन: 300 K ≥ T ≥ 5 K, B ≤ 7 T
चित्र 9: आवृत्ति डोमेन स्पेक्ट्रोस्कोपी के लिए उपयोगकर्ता स्टेशन: 300 K ≥ T ≥ 5 K, B ≤ 7 T

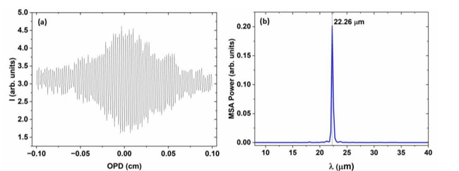
पोर्ट P-4 में एक माइकलसन इंटरफेरोमीटर लगा है, जिसका उपयोग आईआर-एफईएल तरंगदैर्ध्य मापन के लिए किया जाता है। चित्र 10 में यह माइकलसन इंटरफेरोमीटर और भविष्य में विकसित किए जा रहे संबंधित घटक दिखाए गए हैं, जैसे कि आईआर-एफईएल प्रकाश ध्रुवीकरण नियंत्रण और एकल आईआर-एफईएल माइक्रोपल्स चुनने के लिए पल्स स्लाइसर। पायरोइलेक्ट्रिक डिटेक्टरों का उपयोग करके माइकलसन इंटरफेरोमीटर में रिकॉर्ड किया गया इंटरफेरोग्राम चित्र 11(a) में दिखाया गया है। चित्र 11(b) एक विशेष अंडुलेटर गैप के लिए आईआर-एफईएल प्रकाश का लगभग एकल तरंगदैर्ध्य प्रकार का स्पेक्ट्रम दर्शाता है। इस प्रकार के स्पेक्ट्रम फूरियर रूपांतरण के बाद इंटरफेरोग्राम से प्राप्त किए जाते हैं। यह मापन, जो आईआर-एफईएल प्रकाश के साथ कोई भी प्रयोग करने से पहले पहला चरण है, 5 cm⁻¹ के रिज़ॉल्यूशन के लिए लगभग 10 मिनट में पूरा हो जाता है। वर्तमान में, इस सेटअप में प्राप्त किया जा सकने वाला सर्वोत्तम रिज़ॉल्यूशन 0.2 cm⁻¹ है।

चित्र 10: पोर्ट पी-4 पर विकसित माइकलसन इंटरफेरोमीटर, साथ ही भविष्य के लिए विकसित की जा रही सुविधाएं जिनमें आईआर-एफईएल प्रकाश ध्रुवीकरण नियंत्रक, पल्स स्लाइसर, भविष्य का आईआर-एफईएल पंप - आईआर-एफईएल प्रोब प्रायोगिक स्टेशन शामिल हैं।
चित्र 10: पोर्ट पी-4 पर विकसित माइकलसन इंटरफेरोमीटर, साथ ही भविष्य के लिए विकसित की जा रही सुविधाएं जिनमें आईआर-एफईएल प्रकाश ध्रुवीकरण नियंत्रक, पल्स स्लाइसर, भविष्य का आईआर-एफईएल पंप - आईआर-एफईएल प्रोब प्रायोगिक स्टेशन शामिल हैं।


चित्र 11: (a) IR-FEL तरंगदैर्घ्य के मापन हेतु माइकलसन इंटरफेरोमीटर में प्राप्त एक विशिष्ट इंटरफेरोग्राम। यह इंटरफेरोग्राम फूरियर रूपांतरण के बाद प्रकाश तरंगदैर्घ्य को दर्शाता है, जैसा कि (b) में दिखाया गया है। यहाँ I = तीव्रता, OPD = माइकलसन इंटरफेरोमीटर की भुजाओं के बीच शून्य पथ अंतर और MSA = माध्य वर्ग औसत है।
चित्र 11: (a) IR-FEL तरंगदैर्घ्य के मापन हेतु माइकलसन इंटरफेरोमीटर में प्राप्त एक विशिष्ट इंटरफेरोग्राम। यह इंटरफेरोग्राम फूरियर रूपांतरण के बाद प्रकाश तरंगदैर्घ्य को दर्शाता है, जैसा कि (b) में दिखाया गया है। यहाँ I = तीव्रता, OPD = माइकलसन इंटरफेरोमीटर की भुजाओं के बीच शून्य पथ अंतर और MSA = माध्य वर्ग औसत है।

पोर्ट P-4 में सैम्पल्स की स्कैनिंग और इमेजिंग के लिए एक प्रायोगिक व्यवस्था भी है। इस सेटअप में, आईआर-एफईएल प्रकाश को एक संकीर्ण बिंदु पर केंद्रित किया जा सकता है [चित्र 12(a) और (b)] और पायरोइलेक्ट्रिक डिटेक्टरों की सहायता से स्कैनिंग-इमेजिंग के लिए उपयोग किया जा सकता है। इमेजिंग के लिए सैम्पल्स को एक मोटराइज्ड प्रेसिजन xy-स्टेज पर लगाया जाता है और केंद्रित आईआर प्रकाश के सामने रैस्टर किया जाता है, और छवियों को एक साथ ट्रांसमिटेड और रिफ्लेक्टेड चैनल में एकत्र किया जाता है। चित्र 12(c) और (d) क्रमशः रिफ्लेक्टेड और ट्रांसमिटेड मोड में Ti-Si-Ti पतली फिल्म डिवाइस संरचना की छवियां दिखाते हैं। पैनल (c) और (d) में विंडो लगभग 6 मिमी चौड़ाई दर्शाती हैं। इस सेटअप में कुछ सौ माइक्रोन का रिज़ॉल्यूशन प्राप्त किया जाता है, जिसे ऑब्जेक्टिव लेंस को बदलकर जल्द ही और बेहतर बनाया जाएगा।

चित्र 12: आईआर-एफईएल बीम को फोकस करना और स्कैन करना: (a) मूल IR-FEL प्रकाश बिंदु, और (b) फोकस करने के बाद प्राप्त बिंदु, दोनों को पायरो-कैम में रिकॉर्ड किया गया। पायरोइलेक्ट्रिक डिटेक्टरों का उपयोग करके रिकॉर्ड किए गए (c) रिफ्लेक्टेड और (d) ट्रांसमिटेड मोड में Ti-Si-Ti पतली फिल्म उपकरण संरचना की स्कैनिंग-इमेजिंग।
चित्र 12: आईआर-एफईएल बीम को फोकस करना और स्कैन करना: (a) मूल IR-FEL प्रकाश बिंदु, और (b) फोकस करने के बाद प्राप्त बिंदु, दोनों को पायरो-कैम में रिकॉर्ड किया गया। पायरोइलेक्ट्रिक डिटेक्टरों का उपयोग करके रिकॉर्ड किए गए (c) रिफ्लेक्टेड और (d) ट्रांसमिटेड मोड में Ti-Si-Ti पतली फिल्म उपकरण संरचना की स्कैनिंग-इमेजिंग।

निकट भविष्य में, पोर्ट P-4 पर एक पिकोसेकंड लेजर आधारित पल्स पिकर सुविधा भी स्थापित की जाएगी, जिसमें आईआर-एफईएल पंप - आईआर-एफईएल प्रोब सेटअप होगा। आईआर-एफईएल के इंजेक्टर लिनैक सिस्टम की क्लॉक फ्रीक्वेंसी के साथ सिंक्रोनाइज़ करने की सुविधा वाला 1064 nm पिकोसेकंड लेजर सिस्टम पोर्ट P-6 के पास स्थित उपयोगकर्ता सुविधा केंद्र में स्थापित किया गया है (चित्र 7 देखें)। इसका उपयोग आईआर-एफईएल आधारित पंप-प्रोब सुविधा के पल्स पिकर में किया जाएगा। बाद में इसे फेम्टोसेकंड लेजर सिस्टम से बदल दिया जाएगा। आईआर-एफईएल पंप - आईआर-एफईएल प्रोब सुविधा को 2026 तक स्थापित करने का लक्ष्य है।

पोर्ट P-5 पर एक आईआर-एफईएल पंप-THz प्रोब प्रायोगिक स्टेशन स्थापित किया जाएगा, जिसमें THz विकिरण उत्पन्न करने के लिए ऊपर उल्लिखित फेमटोसेकंड लेजर प्रणाली का उपयोग किया जाएगा। इस प्रायोगिक स्टेशन को 2028 तक विकसित करने की योजना है।

पोर्ट P-6 में एक आईआर-एफईएल पंप-ऑप्टिकल प्रोब प्रायोगिक केंद्र स्थापित किया जाएगा। जब एफईएल विकिरण का उपयोग अन्य प्रायोगिक केंद्रों में से किसी एक पर किया जा रहा हो, इसका उपयोग फेमटोसेकंड लेजर पल्स का उपयोग करके स्टैंडअलोन टाइम डोमेन स्पेक्ट्रोस्कोपी के लिए भी किया जा सकता है, । इस सुविधा की स्थापना के लिए यूजीसी-डीएई सीएसआर, इंदौर केंद्र के साथ बातचीत चल रही है। इसके 2026 तक चालू होने की उम्मीद है।
सर्वोतम नज़ारा १०२४ x ७६८